single lens


单透镜参数介绍

​ 在用zemax设计单透镜前,我们需要了解一些关于透镜的知识,比如透镜的一些参数,焦距、厚度、曲率半径、Sagitta (Sag)等。

焦距(Focal Length)

​ 对于凸透镜(平凸透镜、双凸透镜和正弯月透镜),焦距是从透镜中心到所有光线聚焦点的物理距离。相反,对于凹透镜(平凹透镜、双凹透镜、负弯月透镜),焦距是透镜前面所有光线理论上发散的点。

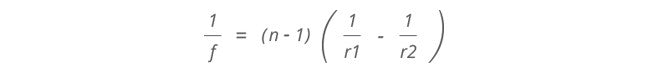
焦距计算公式如下,仅适合镜头厚度较小的镜片:

其中:
f = 焦距
n = 透镜材料的折射率
r1 = 离入射光最近的表面的曲率半径
r2 = 离入射光最远的表面的曲率半径

曲率半径

​ 由于透镜的焦距与其折射率及其表面(或多个表面)的曲率直接相关,因此准确了解这种形状在曲率半径方面的物理特征非常重要。要定义曲率半径,首先要从圆的概念说起。我们知道,圆的边上的每一点到圆心的距离都是等距的,即距离相等,这叫做圆的半径。例如,如果一个圆的半径为 25.4 毫米,无论您从哪个方向放置一条从中心开始并延伸到边缘的直线,该距离始终为 25.4 毫米。通过将半径加倍,我们可以得出沿圆的边缘的两个相对点之间的最长距离,该距离也称为直径。现在,要概念化透镜的曲率半径,请想象一个直径为 20 毫米的平面光学器件。我们可以用两种方式来描绘这种光学器件,一种是从顶部看,另一种是从侧面看,从侧面看。如图二:

如果我们将上面的侧视图叠加成一个半径为 25.4mm 的圆,将它定位在圆边上的两点相距 20mm 的位置,你会看到圆形成了一个理论上的曲面,即从光学器件的一侧传播到另一侧。

在图 3 中,您可以看到该图代表一个曲率半径为 25.4mm 的平凸透镜。但是,如果我们连续对 20 毫米直径的平凸透镜应用更长的半径,同样的曲率分布会发生什么变化?您将在下图中看到,随着曲率半径变大,镜头的曲率变得越来越浅。

相反,平凹透镜可以用相同的概念方式描绘,但是,它不是将光学元件叠加在圆内,而是放置在圆外,如下所示。(图 5)。与凸透镜一样,假设透镜的直径保持不变,随着曲率半径的增加,透镜的曲率会越来越浅。

Sag

​ 曲率半径与弧矢直接相关,在光学行业中更常称为弧垂。在几何术语中,Sagitta 表示从弧的精确中心到其底部中心的距离。在光学器件中,Sag 适用于凸曲率或凹曲率,表示沿曲线的顶点(最高点或最低点)与从光学器件的一个边缘到垂直于曲线绘制的线的中心点之间的物理距离其他。下面的图 7 提供了 Sag 的视觉描述。

厚度

​ 厚度分为中心厚度与边缘厚度。从目前显示的示例中,您可能已经注意到透镜的厚度从光学器件的边缘到中心是不同的。显然,这是曲率半径和垂度的函数。平凸透镜、双凸透镜和正弯月透镜的中心厚度大于边缘厚度。对于平凹、双凹和负弯月透镜,中心厚度总是比边缘厚度薄。光学设计人员通常在图纸上指定边缘和中心厚度,允许其中一个尺寸公差,同时使用另一个作为参考尺寸。重要的是要注意,如果没有这些尺寸之一,就无法辨别镜片的最终形状。

zemax 设计单透镜

设计需求

​ 设计优化一个玻璃材料为N-BK7,F数为4的单透镜,满足以下规格:

规格约束
焦距100 mm
半视场角(SFOV)
波长632.8 nm(HeNe)
中心厚度2 mm ~ 12 mm
边缘厚度> 2 mm
优化标准全视场 RMS 均方根半径平均值
物体位置无穷远

文章作者: Sumeishu
版权声明: 本博客所有文章除特別声明外,均采用 CC BY 4.0 许可协议。转载请注明来源 Sumeishu !